新型冠状病毒肺炎(coronavirus disease 2019,COVID-19)自2019年12月在中国武汉首次被报道以来,迅速蔓延全球,成为影响深远的公共卫生事件。该病由严重急性呼吸综合征冠状病毒2(severe acute respiratory syndrome coronavirus 2,SARS-CoV-2)引起,具有高度传染性和广泛的临床表现,从无症状感染到重症肺炎,甚至导致死亡。尽管大多数患者表现为轻症或中度症状,但约20%的病例可能发展为重症或危重症,须接受重症监护治疗[1-3]。这些重症病例不仅增加了医疗系统的负担,也显著提高了患者的病死率[4-5]。
明确COVID-19重症/危重症患者的相关危险因素,对于早期识别高风险人群、优化医疗资源配置以及制定个体化治疗方案至关重要。已有研究表明,老年人及有基础疾病者(如高血压、糖尿病、心血管疾病、慢性呼吸系统疾病等)更容易被分类为重症/危重症新冠肺炎[6-10]。然而,SARS-CoV-2感染的病理生理机制复杂,涉及病毒负荷、免疫反应、炎症介质、细胞因子风暴等多个方面[4]。因此,系统分析影响COVID-19患者分类为重症/危重症的多重危险因素,具有重要的临床和公共卫生意义。
本研究旨在通过收集临床数据,结合多变量分析方法,探讨COVID-19患者分类为重症/危重症的相关危险因素。通过识别这些危险因素,可以为早期干预和精准治疗提供科学依据,进一步降低COVID-19的重症率和病死率。同时,本研究结果有助于指导公共卫生政策的制定和实施,提升相关部门及人员应对未来类似突发公共卫生事件的能力。
1 材料和方法 1.1 研究对象及入排标准纳入2022年12月1日—2023年1月31日华山医院收治的鼻咽拭子2019-nCoV核酸检测为阳性的新冠肺炎患者。入选标准:患者18岁及以上且经鼻咽拭子2019-nCoV核酸检测确证为阳性。排除与退出标准:由于记录缺失或数据不准确导致数据不完整,无法进行有效分析的患者,以及不愿或不能继续参加的受试者。
1.2 研究方法本研究为回顾性、观察性、单中心临床研究。收集纳入新冠肺炎患者的基本资料、病史信息及实验室检查数据,以分析新冠肺炎住院患者的重型/危重型发生率及分类为重型/危重型新冠肺炎的危险因素。
1.2.1 基本资料和病史信息性别、年龄、住院时间、临床症状、合并基础疾病情况、治疗方案等。
1.2.2 感染相关实验室检测包括白细胞计数、中性粒细胞绝对值、淋巴细胞、血红蛋白、血小板、白蛋白、C反应蛋白(C-reactive protein, CRP)、降钙素原(procalcitonin, PCT)、白细胞介素-6(interleukin-6, IL-6)、D-二聚体(D-dimer,D-D)、Th淋巴细胞绝对值、r-谷氨酰转移酶、白介素2受体、碱性磷酸酶、乳酸脱氢酶、铁蛋白。
1.2.3 新冠肺炎严重程度评估收集相关检查资料和数据,遵照《新型冠状病毒感染诊疗方案(试行第十版)》将新冠患者临床分型分为轻型、中型、重型和危重型4类。
1.2.4 预后随访数据患者出院后通过电话随访或电子病历系统追踪其临床结局,记录截至2023年3月31日的预后。
1.3 统计学方法应用IBM SPSS Statistics 26软件和R语言进行统计学分析。呈正态分布的计量资料以均数±标准差(x±s)表示,采用两样本独立t检验;非正态分布的计量资料以中位数(4分位数)[M(Q1,Q3)]表示,采用非参数检验。计数资料以“例(%)”表示,采用χ2检验或Fisher精确检验进行比较。通过单因素及多因素Logistic回归分析早期各种炎症指标与新冠肺炎患者严重程度的相关性。使用受试者工作特征曲线(receiver operating characteristic curve,ROC曲线)和曲线下面积(area under the curve, AUC),来评估炎症指标对重型/危重型新冠肺炎的预测能力,并确定其最佳截点。P<0.05代表为差异具有统计学意义。
2 结果 2.1 新冠肺炎患者的临床特征本研究共纳入305例新型冠状病毒感染患者,其中年龄中位数为75岁,女性占40%。患者临床分型中,轻型25例,普通型170例,重型59例,危重型51例。在所有纳入分析的患者中,合并高血压者有143例,糖尿病85例,肿瘤史11例,消化系统疾病22例,泌尿系统疾病51例,血液系统疾病3例,风湿性疾病2例。具体数据如表 1所示。
| Group | Mild | Moderate | Severe | Critical | Total |
| Number | 25 | 170 | 59 | 51 | 305 |
| Age[y, M(Q1, Q3)] | 66(55, 74) | 74(65, 81) | 77(68, 83) | 81(71, 88) | 75(65, 82) |
| Female [n (%)] | 9(36) | 74(43.5) | 24(40.7) | 15(29.4) | 122(40) |
| Hypertension [n (%)] | 2(8) | 79(46.5) | 36(61) | 26(51) | 143(46.8) |
| Diabetes [n (%)] | 1(4) | 55(32.4) | 18(30.5) | 11(21.6) | 85(27.9) |
| Tumor history [n (%)] | 4(16) | 6(3.5) | 0(0) | 1(2) | 11(3.6) |
| Digestive diseases [n (%)] | 5(20) | 13(7.6) | 2(3.4) | 2(3.9) | 22(7.2) |
| Urinary disease[n (%)] | 2(8) | 25(14.7) | 11(18.6) | 13(25.5) | 51(16.7) |
| Hematologic diseases [n (%)] | 0(0) | 2(1.2) | 0(0) | 1(2.0) | 3(0.98) |
| Rheumatic diseases[n (%)] | 1(4.0) | 1(0.6) | 0(0) | 0(0) | 2(0.66) |
| Hospital Stay [d, M(Q1, Q3)] | 7(5, 15, 25) | 7(5, 12) | 10(7, 13) | 13(6, 17) | 8(5, 13) |
与轻型/普通型患者相比(见表 2),分类为重型/危重型患者的年龄更大,淋巴细胞绝对值、血红蛋白、天冬氨酸氨基转移酶(aspartate aminotransferase, AST)水平较低,而CRP、PCT、IL-6、D-二聚体及脑钠肽(brain natriuretic peptide, BNP)水平较高,这些差异均具有统计学意义(P<0.05)。铁蛋白、肌酐、丙氨酸氨基转移酶(alanine aminotransferase, ALT)等水平无显著差异。
| Clinical feature | Mild/Moderate (n=195) | Severe/Critical (n=110) | Statistic | P-value |
| Age (y) | 72(63, 81) | 78(71, 85) | W=7 666 | <0.000 1 |
| Female [n (%)] | 83(42.6) | 39(35.5) | X2=1.199 7 | 0.273 |
| WBC(×109/L) | 5.46(3.88, 7.78) | 5.63(4.53, 8.11) | W=7 556.5 | 0.565 |
| Lymphocyte(×109/L) | 0.92(0.65, 1.31) | 0.67(0.45, 1.00) | W=13 390 | <0.000 1 |
| Hemoglobin (g/L) | 116(65, 131) | 94(13, 121) | W=130 30 | 0.000 3 |
| Platelet (×109/L) | 199(194.8, 246.5) | 196(151.5, 250.5) | W=10 589 | 0.772 |
| CRP (mg/L) | 20.74(6.66, 70.94) | 59.09(26.88, 124.27) | W=6 589.5 | <0.000 1 |
| PCT (ng/mL) | 0.05(0.00, 0.09) | 0.10(0.06, 0.65) | W=5 756 | <0.000 1 |
| IL-6 (ng/L) | 9.12(3.91, 25.8) | 22.8(6.83, 84.9) | W=6 453 | <0.000 1 |
| D-Dimer (mg/L) | 0.75(0.38, 1.72) | 1.43(0.74, 3.45) | W=7 141 | <0.000 1 |
| Ferritin (ng/mL) | 592.0(382.0, 853.5) | 581.0(406.2, 1086.5) | W=2 137.5 | 0.324 |
| BNP (pg/mL) | 226.2(108.1, 672.0) | 505.9(190.6, 1503.5) | W=7 021.5 | <0.000 1 |
| Creatinine (μmol/L) | 80.0(64.0, 100.25) | 78(65, 97) | W=10 192 | 0.875 |
| AST (U/L) | 25(17, 36.5) | 20.95(20.0, 50.75) | W=6 952 | 0.004 |
| ALT(U/L) | 27(17, 43) | 25(16, 37) | W=6 977.5 | 0.351 |
| 注:除特殊标注,计量资料均以中位数(4分位数)[M(Q1,Q3)]表示。 | ||||
初步分析显示,以下指标与患者分类为重型/危重型新冠肺炎显著相关:淋巴细胞计数、血红蛋白、血小板、C反应蛋白(CRP)、降钙素原(PCT)、白细胞介素-6(IL-6)、D-二聚体及脑钠肽(BNP)、天冬氨酸氨基转移酶(AST)。
为明确与分类为重型/危重型新冠肺炎密切相关的危险因素,本文利用R语言进行了Logistic逐步回归分析。最终筛选出以下指标作为重型/危重型新冠肺炎的关键危险因素:淋巴细胞计数、血红蛋白、C反应蛋白(CRP)、白细胞介素-6(IL-6)、D-二聚体及脑钠肽(BNP)。
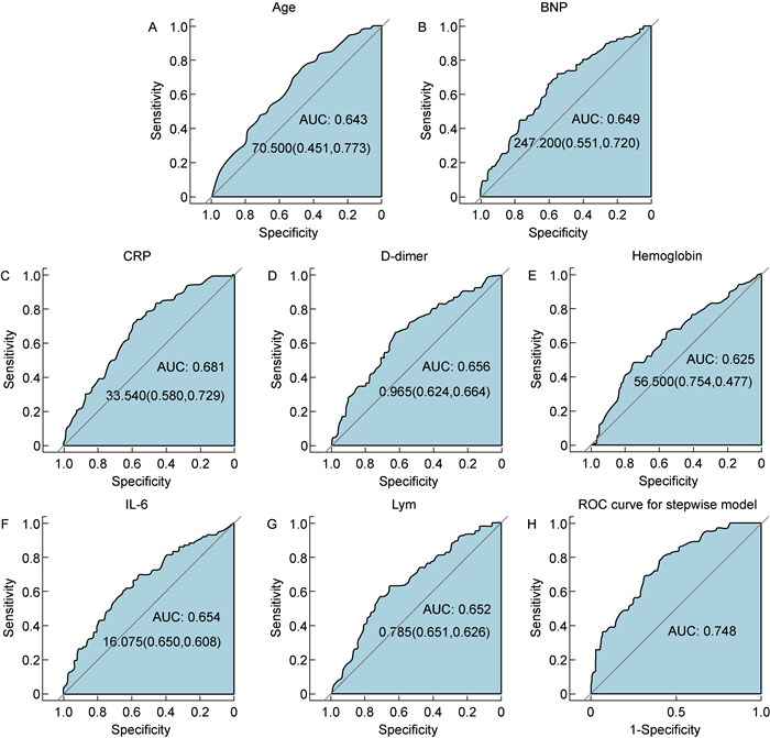
基于这些危险因素,本文建立了分类为重型/危重型新冠肺炎的预测模型。结果显示,年龄、淋巴细胞计数、血红蛋白、C反应蛋白、白细胞介素-6、D-二聚体及脑钠肽在单独预测患者是否分类为重型/危重型新冠肺炎方面具有一定的价值(AUC分别为0.643、0.652、0.625、0.681、0.654、0.656和0.649),具体如图 1A~G所示。而7项指标联合预测患者是否分类为重型/危重型新冠肺炎的预测价值更高(AUC=0.748,见图 1H)。具体结果如表 3所示。
|
| A: 年龄(age);B:脑钠肽(brain natriuretic peptide, BNP);C:C反应蛋白(C-reactive protein, CRP);D:D-二聚体(D-dimer);E:血红蛋白(hemoglobin);F:白细胞介素-6(interleukin-6, IL-6);G:血淋巴细胞数(lymphocytes,Lym);H:7项指标联合预测(seven risk factors)。 图 1 不同危险因素与COVID-19病情严重程度的关系 Fig. 1 Relationship between different risk factors and the severity of COVID-19 |
| Variable | Estimate | Std.Error | z-value | P-value |
| Intercept | -2.286 622 2 | 0.943 5 | -2.423 | 0.015 |
| Age | 0.029 6 | 0.011 2 | 2.637 | 0.008 |
| Lymphocyte count | -0.559 3 | 0.313 4 | -1.784 | 0.074 |
| Hemoglobin | -0.007 2 | 0.002 5 | -2.876 | 0.004 |
| CRP | 0.004 5 | 0.002 1 | 2.168 | 0.030 |
| IL-6 | 0.001 7 | 0.001 7 | 1.026 | 0.304 |
| D-dimer | 0.055 4 | 0.034 2 | 1.617 | 0.106 |
| BNP | 0.000 1 | 0.000 1 | 1.467 | 0.142 |
本研究共纳入305例患者的预后数据(见表 4)。重型/危重型患者中,死亡率显著高于轻型/普通型(16.36% vs. 0.51%,P<0.001)。住院天数与预后显著相关,死亡患者的住院天数中位数为14天(IQR: 7~24),显著短于治愈组(P=0.002)。多因素Cox回归结果显示,年龄(HR=1.04, 95%CI为[1.01,1.07])、BNP升高(HR=1.001, 95%CI为[1.000, 1.002])及分型为危重型(HR=4.25, 95%CI为[1.82,9.91])是死亡的独立危险因素。
| Clinical classification | Number of cases | Improvement [n(%)] |
Cure [n(%)] |
Deterioration [n(%)] |
Death [n(%)] |
| Mild | 25 | 20(80.0) | 5(20.0) | 0(0) | 0(0) |
| Moderate | 170 | 142(83.5) | 25(14.7) | 2(1.2) | 1(0.6) |
| Severe | 59 | 40(67.8) | 12(20.3) | 5(8.5) | 2(3.4) |
| Critical | 51 | 18(35.3) | 8(15.7) | 9(17.6) | 16(31.4) |
| Total | 305 | 220(72.1) | 50(16.4) | 16(5.2) | 19(6.2) |
本研究通过回顾性分析华山医院在2022年12月1日—2023年1月31日收治的305例COVID-19患者,明确了分类为重型/危重型COVID-19患者的关键危险因素,包括年龄、淋巴细胞计数、血红蛋白、C反应蛋白(CRP)、白细胞介素-6(IL-6)、D-二聚体及脑钠肽(BNP)。基于这些指标建立的预测模型为早期干预和精准治疗提供了科学依据。以下对各关键危险因素进行具体分析。
年龄:本研究发现,年龄是COVID-19患者病情加重的重要危险因素之一。与轻型/普通型患者相比,重型/危重型患者的年龄显著较大(P<0.05)。这一结果与既往研究一致,老年人由于免疫功能下降及多种基础疾病的存在,更容易被确诊为重症或危重症[6-7]。因此,对老年患者进行早期识别和积极干预至关重要。
淋巴细胞计数和血红蛋白:本研究表明,重型/危重型COVID-19患者的淋巴细胞计数和血红蛋白水平显著低于轻型/普通型患者(P<0.05)。这一结果与Fouad等[11]和Liu等[12]的研究结果相符。淋巴细胞减少可能反映了病毒感染对免疫系统的抑制作用[13],而低水平的血红蛋白可能与贫血状态相关,进一步削弱了机体的抗病毒能力。这些指标可以作为评估病情进展的早期预警信号。
炎症指标:CRP、IL-6和D-二聚体的水平在重型/危重型患者中显著升高(P<0.05),表明炎症反应和凝血功能紊乱在COVID-19病情加重中发挥了重要作用。Velavan等[14]的研究也提到了这一结果。CRP作为急性期反应蛋白,其水平升高与炎症反应强度相关[15]。IL-6是一种重要的促炎细胞因子,其水平升高与细胞因子风暴的发生密切相关,而D-二聚体水平的升高则反映了COVID-19患者中普遍存在的凝血异常和微血栓形成。这些炎症指标可作为疾病严重度的早期预警指标,建议纳入临床监测体系,以指导干预时机的选择。
脑钠肽:BNP是一种心脏衍生的肽类激素,在本研究中重型/危重型患者的BNP水平显著高于轻型/普通型患者(P<0.05)。Zinellu等[16]的研究也发现,较高的BNP/NT-proBNP血浆浓度与COVID-19的重症和死亡显著相关。BNP水平升高常见于心功能不全的患者,提示SARS-CoV-2可能通过直接或间接的机制对心脏产生不良影响[17],尤其是在老年或有基础心血管疾病的患者中。
本研究补充了预后随访数据,进一步验证了分型为危重型、年龄及BNP水平对预后的预测价值。值得注意的是,危重型患者的死亡率高,提示早期识别此类患者并优化干预策略至关重要。住院天数较短的患者死亡率较高,可能与病情迅速恶化相关,须重视对“快速进展型”病例的临床管理。此外,预后数据亦支持原有模型的临床实用性,联合年龄、炎症及心脏标志物可同时预测重症化风险和不良结局。
尽管本研究在识别COVID-19患者病情进展的危险因素方面取得了一定的成果,但仍存在以下局限性。①样本量有限:本研究仅纳入了单中心的305例患者,样本量相对较小,可能影响结果的普遍性和外部效度。不同地区和医疗机构的患者群体可能存在差异,需要更大规模的多中心研究来验证此结论在不同医疗环境下的适用性。②回顾性研究设计:本研究为回顾性观察研究,可能存在选择偏倚和信息偏倚。患者的病史信息和实验室数据是从既往病历中提取的,数据的完整性和准确性存在固有局限。前瞻性研究设计可以在未来的研究中更好地控制这些偏倚。③未考虑干预措施的影响:本研究未详细探讨不同治疗方案对患者病情进展的影响。不同的治疗措施和干预手段可能对患者的预后产生重要影响,需要进一步研究以评估其效果。④潜在混杂因素:尽管本文使用了多变量分析方法来调整潜在的混杂因素,但仍可能存在未测量或未知的混杂变量,影响结果的解释和推广。尽管存在上述局限,本研究的预测模型在识别高风险患者方面表现出了较好的预测能力(AUC=0.748)。在实际临床应用中,这一模型可以帮助医务人员迅速评估患者的病情,合理配置医疗资源,从而实施个体化的治疗策略,进一步降低COVID-19的重症率和病死率[9-10, 18]。
4 结论本研究明确了与COVID-19患者分类为重症/危重症密切相关的多个危险因素,并建立了一个具有较好预测能力的模型。这些发现为早期识别高危患者、优化医疗资源配置及制定个体化治疗方案提供了科学依据,对提升应对未来类似突发公共卫生事件的能力具有重要意义。未来的研究应进一步验证这些危险因素和预测模型的适用性,并探索新的潜在生物标志物和相应的干预措施,以更好地应对COVID-19及其他可能的突发公共卫生事件。
| [1] |
Liu Y, Yan LM, Wan L, Xiang TX, Le A, Liu JM, Peiris M, Poon LLM, Zhang W. Viral dynamics in mild and severe cases of COVID-19[J]. Lancet Infect Dis, 2020, 20(6): 656-657.
[DOI]
|
| [2] |
Kompaniyets L, Agathis NT, Nelson JM, Preston LE, Ko JY, Belay B, Pennington AF, Danielson ML, DeSisto CL, Chevinsky JR, Schieber LZ, Yusuf H, Baggs J, Mac Kenzie WR, Wong KK, Boehmer TK, Gundlapalli AV, Goodman AB. Underlying medical conditions associated with severe COVID-19 illness among children[J]. JAMA Netw Open, 2021, 4(6): e2111182.
[DOI]
|
| [3] |
CDC COVID-19 Response Team. Severe outcomes among patients with coronavirus disease 2019 (COVID-19)-United States, February 12-March 16, 2020[J]. MMWR Morb Mortal Wkly Rep, 2020, 69(12): 343-346.
[DOI]
|
| [4] |
Cennimo DJ, Bronze MS. Pericarditis[EB/OL]. (2024-12-31)[2025-04-27]. https://emedicine.medscape.com/article/2500114-overview
|
| [5] |
French G, Hulse M, Nguyen D, Sobotka K, Webster K, Corman J, Aboagye-Nyame B, Dion M, Johnson M, Zalinger B, Ewing M. Impact of hospital strain on excess deaths during the COVID-19 pandemic-United States, July 2020-July 2021[J]. Am J Transplant, 2022, 22(2): 654-657.
[DOI]
|
| [6] |
Sanchez-Ramirez DC, Mackey D. Underlying respiratory diseases, specifically COPD, and smoking as risk factors for severe COVID-19 outcomes: a systematic review and meta-analysis[J]. Respir Med, 2020, 171: 106096.
[DOI]
|
| [7] |
Centers for Disease Control and Prevention (CDC). Underlying medical conditions associated with severe COVID-19[EB/OL]. [2024-04-27]. https://www.cdc.gov/covid/hcp/clinical-care/underlying-conditions.html
|
| [8] |
Colnago M, Benvenuto GA, Casaca W, Negri RG, Fernandes EG, Cuminato JA. Risk factors associated with mortality in hospitalized patients with COVID-19 during the omicron wave in brazil[J]. Bioengineering, 2022, 9(10): 584.
[DOI]
|
| [9] |
Laatifi M, Douzi S, Ezzine H, Asry CE, Naya A, Bouklouze A, Zaid Y, Naciri M. Explanatory predictive model for COVID-19 severity risk employing machine learning, shapley addition, and LIME[J]. Sci Rep, 2023, 13(5481): 1-19.
[PubMed]
|
| [10] |
Mayerhöfer T, Perschinka F, Klein SJ, Peer A, Lehner GF, Bellmann R, Gasteiger L, Mittermayr M, Breitkopf R, Eschertzhuber S, Mathis S, Fiala A, Fries D, Ströhle M, Foidl E, Hasibeder W, Helbok R, Kirchmair L, Stögermüller B, Krismer C, Heiner T, Ladner E, Thomé C, Preuß-Hernandez C, Mayr A, Potocnik M, Reitter B, Brunner J, Zagitzer-Hofer S, Ribitsch A, Joannidis M. Incidence, risk factors and outcome of acute kidney injury in critically ill COVID-19 patients in Tyrol, Austria: a prospective multicenter registry study[J]. J Nephrol, 2023, 36: 2531-2540.
[DOI]
|
| [11] |
Fouad SH, Allam MF, Taha SI, Okba AA, Hosny A, Moneer M, Roman SW. Comparison of hemoglobin level and neutrophil to lymphocyte ratio as prognostic markers in patients with COVID-19[J]. J Int Med Res, 2021, 49(7): 1-12.
|
| [12] |
Liu L, She J, Bai Y, Liu W. SARS-CoV-2 infection: differences in hematological parameters between adults and children[J]. Int J Gen Med, 2021, 14: 3035-3047.
[DOI]
|
| [13] |
Citu C, Gorun F, Motoc A, Sas I, Gorun OM, Burlea B, Tuta-Sas I, Tomescu L, Neamtu R, Malita D, Citu IM. The predictive role of NLR, d-NLR, MLR, and SIRI in COVID-19 mortality[J]. Diagnostics, 2022, 12(1): 122.
[DOI]
|
| [14] |
Velavan TP, Kuk S, Linh LTK, Lamsfus Calle C, Lalremruata A, Pallerla SR, Kreidenweiss A, Held J, Esen M, Gabor J, Neurohr EM, Shamsrizi P, Fathi A, Biecker E, Berg CP, Ramharter M, Addo MM, Kreuels B, Kremsner PG. Longitudinal monitoring of laboratory markers characterizes hospitalized and ambulatory COVID-19 patients[J]. Sci Rep, 2021, 11(1): 14471.
[DOI]
|
| [15] |
Tay MZ, Poh CM, Rénia L, MacAry PA, Ng LFP. The trinity of COVID-19: immunity, inflammation and intervention[J]. Nat Rev Immunol, 2020, 20(6): 363-374.
[DOI]
|
| [16] |
Zinellu A, Sotgia S, Carru C, Mangoni AA. B-type natriuretic peptide concentrations, COVID-19 severity, and mortality: a systematic review and meta-analysis with meta-regression[J]. Front Cardiovasc Med, 2021, 8: 690790.
[DOI]
|
| [17] |
Lu JY, Buczek A, Fleysher R, Hoogenboom WS, Hou W, Rodriguez CJ, Fisher MC, Duong TQ. Outcomes of hospitalized patients with COVID-19 with acute kidney injury and acute cardiac injury[J]. Front Cardiovasc Med, 2022, 8: 798897.
[DOI]
|
| [18] |
Cisterna-Garcia A, Guillén-Teruel A, Caracena M, Pérez E, Jiménez F, Francisco-Verdú FJ, Reina G, González-Billalabeitia E, Palma J, Sánchez-Ferrer Á, Botía JA. A predictive model for hospitalization and survival to COVID-19 in a retrospective population-based study[J]. Sci Rep, 2022, 12(18126): 1-11.
[PubMed]
|
2025, Vol. 20


